FES Tema 10
20 oct. 2025
10_Semiconductores
10_1EstructyradebandasymasaefectivaConduccionyValencia
10_2ConceptodehuecoyModeloDrude
10_3UsodeimpurezasDopadoModeloHidrogenoide
10_4aEstadisticaSemiconductorDensidadEstados
10_4bCalculo_n_bandaconduccion
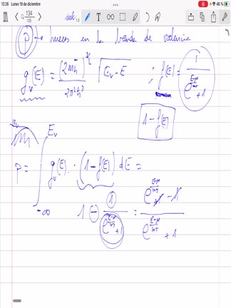
10_4cCalculo_p_bandavalencia
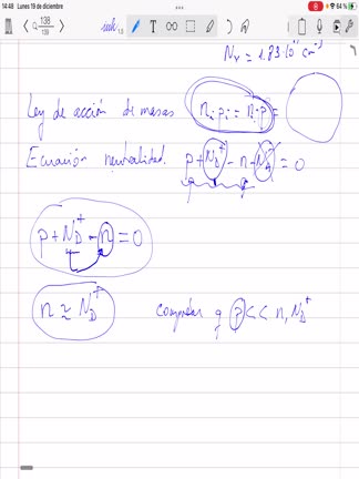
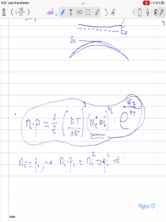
10_4dLeyAcciondemasasyFermiintrinsecos
10_4eConcentracionPortadoresIntrinsecosenfuncionEg
10_5aSemiconductorextrinseco
10_5cNiveldeFermiSemiconductorExtrinseco
EjemploSemiconductorExtrinseco
- ← Anterior
- 1 (current)
- 2
- Siguiente →