• English
  • Español
  • Valencià
  • Ayuda
Imagen
  • Inicio
  • Categorías
    • Lógica
    • Matemáticas
    • Astronomía y astrofísica
    • Física
    • Química
    • Ciencias de la vida
    • Ciencias de la tierra y del espacio
    • Ciencias agrarias
    • Ciencias médicas
    • Ciencias tecnológicas
    • Antropología
    • Demografía
    • Ciencias económicas
    • Geografía
    • Historia
    • Ciencias jurídicas y derecho
    • Lingüística
    • Pedagogía
    • Ciencia política
    • Psicología
    • Ciencias de las artes y las letras
    • Sociología
    • Ética
    • Filosofía
    • Corporativo
    • Vida universitaria
    • Noticias
  • Estudios
    • De doctorado
    • Grados
    • Másters
    • Títulos propios
  • Centros
    • Facultad de física
    • Facultad de farmacia y ciencias de la alimentación
    • Facultad de filosofía y ciencias de la educación
    • Facultad de enfermería y podología
    • Facultad de química
    • Facultad de magisterio
    • Facultad de psicología y logopedia
    • Facultad de fisioterapia
    • Facultad de ciencias matemáticas
    • Facultad de ciencias de la actividad física y el deporte
    • Facultad de derecho
    • Facultad de veterinaria
    • Facultad de ciencias sociales
    • Facultad de economía
    • Escuela técnica superior de ingeniería
    • Centro de formación permanente e innovación educativa
    • Extensión universitaria
    • Vicerrectorado de proyección territorial y sociedad
    • Centro de gandia
    • Facultad de geografía e historia
    • Jardín botánico
    • Colegio mayor 'rector peset'
    • Serv.central apoyo a investigación experim.(scsie)
    • Facultad de filología, traducción y comunicación
    • Escuela de doctorado
    • Servicio de estudiantes-master
    • Facultad de ciencias biológicas
    • Doble grado en física y química
    • Doble grado en física y matemáticas
    • Dobles títulos facultad de derecho - facultad de economía
    • Servicio de estudiantes
    • F.c.act.física i l'esport_eu fisioteràpia (fcafe_fisioter
    • Fundación lluís alcanyís
    • Onteniente magisterio
    • Onteniente economía
    • Fundación universidad-empresa adeit
    • Facultad de medicina y odontología
    • Cudap i clínica optometrica
  • Tipos de Recurso
    • Congreso
    • Conferencia
    • Curso
    • Recurso docente
    • Innovación educativa
    • Investigación
    • Mooc
    • Prácticas
    • Seminario
    • Tutorial
    • Taller
  • 🔴 Eventos
  1. Portal de Vídeo UV
  2. Matemáticas
  • Lógica
  • Matemáticas
  • Astronomía y astrofísica
  • Física
  • Química
  • Ciencias de la vida
  • Ciencias de la tierra y del espacio
  • Ciencias agrarias
  • Ciencias médicas
  • Ciencias tecnológicas
  • Antropología
  • Demografía
  • Ciencias económicas
  • Geografía
  • Historia
  • Ciencias jurídicas y derecho
  • Lingüística
  • Pedagogía
  • Ciencia política
  • Psicología
  • Ciencias de las artes y las letras
  • Sociología
  • Ética
  • Filosofía
  • Corporativo
  • Vida universitaria
  • Noticias

Matemáticas

  • Álgebra
  • Análisis y análisis funcional
  • Ciencia de los ordenadores
  • Geometría
  • Teoría de números
  • Análisis numérico
  • Investigación operativa
  • Probabilidad
  • Estadística
  • Topología
  • Otras especialidades matemáticas
La integral de Riemann 34' 27''

La integral de Riemann

Matemáticas I

8 visualizaciones
0
Diferenciabilidad 53' 47''

Diferenciabilidad

Matemáticas I

11 visualizaciones
0
Derivadas 42' 40''

Derivadas

Matemáticas I

4 visualizaciones
0
Límites 33' 04''

Límites

Matemáticas I

2 visualizaciones
0
Continuidad 46' 09''

Continuidad

Matemáticas I

8 visualizaciones
0
Cálculo de una integral impropia 16' 51''

Cálculo de una integral impropia

Matemáticas I

3 visualizaciones
0
Integración por partes 21' 46''

Integración por partes

Matemáticas I

6 visualizaciones
0
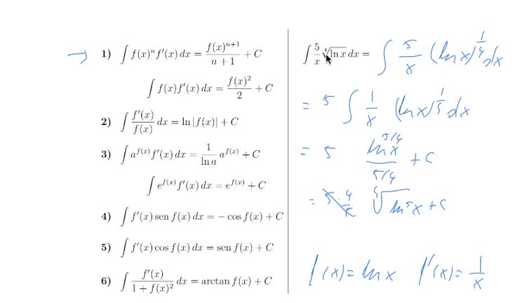
Ejemplos de integrales inmediatas 33' 36''

Ejemplos de integrales inmediatas

Matemáticas I

13 visualizaciones
0
Cálculo de límites 23' 14''

Cálculo de límites

Matemáticas I

8 visualizaciones
0
La regla de la cadena 13' 39''

La regla de la cadena

Matemáticas I

9 visualizaciones
0
La diferencial de una función 8' 46''

La diferencial de una función

Matemáticas I

9 visualizaciones
0
Cálculo de derivadas III 21' 24''

Cálculo de derivadas III

Matemáticas I

9 visualizaciones
0
  • ← Anterior
  • 1 (current)
  • 2
  • 3
  • 4
  • 5
  • 6
  • 7
  • …
  • 13
  • Siguiente →
Imagen UVDocència Videos
Mediauni Mediauni Aplicació de la Universitat de València per a dispositius Iphone Aplicació de la Universitat de València per a dispositius Iphone Aplicació de la Universitat de València per a dispositius android Aplicació de la Universitat de València per a dispositius android

© 2021 UV. - Av. Blasco Ibáñez, 13. 46010 Valencia. España. Tel. UV +34 963 86 41 00

Aviso legal | Accesibilidad | Política privacidad | Cookies | Transparencia | Buzón UV
PuMuKIT icon Creado por PuMuKIT 3.9.5
Cookies
Este sitio web utiliza cookies propias y de terceros, para ofrecerle una mejor experiencia y servicio. Puedes revisar nuestra política de cookies en cualquier momento. Si estás de acuerdo marca la casilla correspondiente.